干細胞是一類具有不同分化潛能,并且能自我更新的細胞,經體外生產、制備等操作后,輸入(或植入)人體能夠用于疾病治療。
目前國內外已開展了多項干細胞臨床應用研究,涉及多種疾病類型,主要包括骨關節疾病、肝硬化、移植物宿主排斥反應(GVHD)、脊髓損傷及退行性神經系統疾病和糖尿病等。
作為一種新型的生物治療產品,干細胞制劑必須保證質量可控性以及治療的安全性和有效性。那么一份優質的干細胞產品背后,又有哪些評判標準呢?
國家衛生計生委辦公廳、國家食品藥品監管總局辦公廳在 2015 年發布了《干細胞制劑質量控制及臨床前研究指導原則(試行)》,其中就提到不少影響細胞質量的因素可供我們參考,包括細胞來源、細胞活性、細胞活率。

01 細胞來源
想要獲得高質量的干細胞,細胞來源的重要性不言而喻。無論你是選擇了自體回輸還是異體回輸,細胞供者本身的年齡及身體狀況都會對細胞質量產生影響。
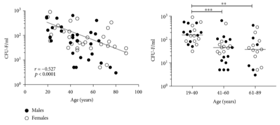
2019 年,英國利茲大學的科研團隊就采集了 67 名健康供體(19-89 歲)的骨髓間充質干細胞,通過體外培養的方式證實了:年輕人的干細胞數量和增殖能力顯著高于老年人。

注:培養基中培養 14 天后,年輕組(19-40),中年齡組(41-60)和老年組(61-89)的干細胞計數對比
所以單從年齡這個因素考慮,有零歲細胞之稱的臍帶/胎盤間充質干細胞應該是最優解,年輕人的骨髓、脂肪、牙髓等來源的間充質干細胞次之,年紀太大的患者,除非自己在年輕的時候儲存自身健康有活力的干細胞,否則不建議直接使用自體干細胞治療。

注:年輕態的干細胞胞體飽滿、呈明顯的梭形;衰老的干細胞胞體寬大扁平
供者本身的身體狀況也對干細胞有一定影響。
首先供體必須經過檢驗篩查證明無人源特定病毒(包括 HIV、HBV、HCV、HTLV、EBV、CMV 等)的感染,無梅毒螺旋體感染。其次除了病毒感染,許多疾病也會影響自體間充質干細胞的功能及效果,如遺傳性疾病、自身免疫性疾病和部分慢性疾病等。
以常見的糖尿病為例,2021 年 9 月刊登在《STEM CELLS TRANSLATIONAL MEDICINE(干細胞轉化醫學)》上的一項研究證實:長期患有 2 型糖尿病會降低干細胞的增殖能力、免疫抑制潛力及存活率。

注:健康組(第 1 組)和 2 型糖尿病患者的自體骨髓來源間充質干細胞(BM-MSCs)的表征對比(糖尿病持續時間:第 2 組:<5 年,組 3:5-10 年,第 4 組:>10 年)
盡管干細胞治療 2 型糖尿病的具有潛在治療效果,但一些患者使用自體干細胞進行治療卻得到矛盾的結果,這是由于疾病影響了患者自體干細胞的分子和細胞特征,特別是代謝活動和線粒體 DNA 的改變。
因此,當你患有糖尿病超過 10 年時,采用自體干細胞進行治療就不是一個明智的選擇。
02 細胞活性
人體會衰老,人體內廣泛存在的 MSC 也會衰老(大自然的規律),體外培養的 MSC 同樣會衰老(復制性衰老)。
剛從臍帶、胎盤等組織提取出來的干細胞是原始 P0 代,傳一代是 P1 代干細胞,以此類推。在此過程中,干細胞的生物學效力和增殖特性,會隨著傳代次數的增加逐漸下降。
例如,下圖為越南某實驗室分離培養的人脂肪間充質干細胞,培養至 P10 代時,干細胞出現典型的衰老特征,胞體直徑增大、寬大扁平,失去了典型的成纖維細胞樣的梭形,朝著“煎蛋”形態發展且局部排列紊亂。

注:從 P10 代開始有明顯的衰老
雖然間充質干細胞理論上可以長期傳代培養,但衰老干細胞的免疫抑制功能會出現明顯的下降,因此在臨床應用中不建議選擇代次較高的干細胞批次。
可能有人會問,按照這個邏輯,剛從組織中分離出來的 P0 代干細胞不就是活性最高的嗎?為什么不直接用呢?
雖然 P0 代干細胞確實活性很高,但我們需要綜合考慮細胞的劑量與安全性。如果沒經過足夠的體外培養、擴增,可能導致細胞總數量不夠,達不到使用標準。
此外,傳代培養的過程還是一個純化間充質干細胞的過程。剛從組織中被新鮮提取出的 P0 代干細胞還來不及檢測各種污染物的存在情況,也沒有進行進一步的凈化,有可能存在某些細菌、病毒、微生物等,缺乏安全保障。
目前學界普遍公認,P3-P7 代次的干細胞,遺傳特性基本穩定,生物學特性雖然有一定的差異,但差異不大,也可以認為基本穩定。所以要同時兼具數量、安全及干細胞活性,P3-P7 代次的干細胞是最佳的選擇。
03 細胞活率
我們都知道,當干細胞回輸到體內,只有活著的干細胞能真正起到修復或治療的作用,失活細胞不僅有礙有效性,還可能會引發機體毒性反應。
所以細胞活率不但關乎細胞質量,更涉及人體自身的安全。也正因如此,國內監管對于干細胞產品活率要求較高,通常要 ≥90%。
除了干細胞本身的活性外,存儲、運輸條件也會影響細胞活率。如果存儲或運輸條件不合格,則可能導致細胞死亡、細胞膜破裂及內容物釋放等,不但起不到治療效果,反而會導致不良事件的發生。
另外如果細胞的移植方式也對細胞活率有一定影響,例如輸注/移植速度過慢,耗時過長,則有可能出現細胞死亡,增加不良事件發生的風險。

由于干細胞技術具有多樣性、復雜性和特殊性,因此為了確保干細胞制劑臨床應用的安全性和有效性。依照《干細胞臨床研究管理辦法》、《干細胞制劑質量控制及臨床前研究指導原則》、國家衛健委和國家藥監局監管要求,開展臨床研究的干細胞產品應取得第三方檢驗機構出具的質量檢測報告。
中國食品藥品檢定研究院(簡稱“中檢院”),是國家檢驗藥品生物制品質量的法定機構和最高技術仲裁機構,也是最權威的第三方干細胞質量復核檢驗機構。
取得中檢院的細胞質量檢驗報告,標志著該企業從細胞制劑的生產工藝到質量控制體系,均符合藥品申報的前提,具備生產臨床級干細胞制劑的能力。
總而言之,干細胞技術作為一門前沿新興技術,必須要用更全面、理智的視角去對待,嚴格遵守干細胞臨床應用的相關指導原則和標準,才能從中獲得想要的結果。
免責聲明:
我們尊重原創,也注重分享。圖文來源網絡,版權歸原作者所有,如涉及作品內容、版權或其它問題,請聯系我們刪除!


閩公網安備 35020602002648 號
QQ 客服